گزارش ایلنا از عملکرد ۹ماهه فناوران؛ مدیریت هزینهها و نگاه توسعهای به آینده؛
پتروشیمی "فنآوران" به دنبال جهش عملیاتی با تکیه بر افزایش سرمایه
گزارشهای اخیر نشان میدهد؛ پتروشیمی فنآوران اگرچه در سال جاری با چالش افزایش هزینهها مواجه بوده است؛ اما مسیر اصلاح ساختار مالی و توسعه عملیاتی را فعالانه دنبال کرده است؛ موضوعی که میتواند در دورههای آینده به نفع سهامداران این شرکت تمام شود.
به گزارش خبرنگار ایلنا؛ "پتروشیمی فنآوران" در تازهترین گزارشهای منتشر شده در سامانه کدال، تصویری از شرکتی ارائه میدهد که با وجود فشار هزینههای تولید و نوسانات محیط عملیاتی، توانسته است سطح درآمد خود را افزایش دهد و همزمان با ارائه پیشنهاد افزایش سرمایه، مسیر توسعه و تقویت ساختار مالی خود را نیز هموار کند؛ موضوعی که میتواند جایگاه این شرکت را در زنجیره پتروشیمی کشور مستحکمتر کند.
پتروشیمی فنآوران با نماد «شفن» یکی از بازیگران مهم صنعت پتروشیمی ایران در حوزه تولید متانول، اسید استیک و مونوکسیدکربن به شمار میرود. بررسی صورتهای مالی یکماهه منتهی به ۳۰ دی ۱۴۰۴، عملکرد ۹ماهه منتهی به ۳۰ آذر ۱۴۰۴ و همچنین برنامه افزایش سرمایه پیشنهادی هیأت مدیره نشان میدهد شرکت علاوه بر حفظ جریان فروش، نگاه توسعهای خود را نیز فعال نگه داشته است. هرچند فشار هزینههای انرژی و برخی توقفهای تولید بر سودآوری عملیاتی اثر گذاشته است؛ اما مجموعه اقدامات اصلاحی و برنامههای توسعهای میتواند مسیر سودآوری پایدارتر را در دورههای آینده فراهم کند.
رشد فروش در گزارش یکماهه دی ماه؛ تداوم جریان درآمدی شرکت
گزارش عملکرد یکماهه منتهی به ۳۰ دی ۱۴۰۴ نشان میدهد پتروشیمی فنآوران توانسته روند فروش محصولات خود را در زمستان نیز حفظ کند. استمرار تولید و صادرات محصولات اصلی بهویژه متانول باعث شده شرکت همچنان از جریان نقدی مناسبی برخوردار باشد.
ثبات نسبی فروش ماهانه برای شرکتهای پتروشیمی اهمیت زیادی دارد؛ چراکه این موضوع نشاندهنده حفظ بازارهای صادراتی و مدیریت مناسب تولید است. فناوران در ماههای اخیر تلاش کرده علاوه بر مدیریت توقفهای مقطعی تولید، سطح عرضه خود را در بازارهای هدف حفظ کند و این موضوع در گزارش ماهانه نیز قابل مشاهده است.
کارشناسان بازار سرمایه معتقدند؛ پایداری فروش ماهانه میتواند نشانهای از توان شرکت در عبور از دورههای نوسانی قیمت محصولات و انرژی باشد؛ عاملی که برای سرمایهگذاران میانمدت و بلندمدت اهمیت بالایی دارد.
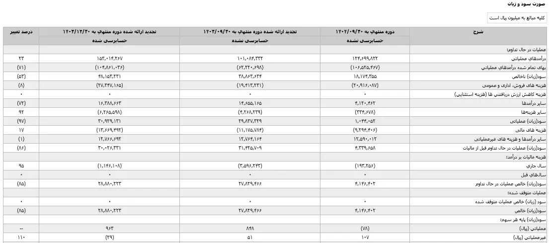
صورتهای مالی ۹ماهه؛ رشد درآمد در برابر فشار هزینهها
بررسی صورتهای مالی ۹ماهه منتهی به ۳۰ آذر ۱۴۰۴ نشان میدهد؛ درآمدهای عملیاتی شرکت در مقایسه با دوره مشابه سال قبل بیش از ۲۳ درصد افزایش یافته است. این موضوع بیانگر توان شرکت در حفظ و توسعه فروش محصولات خود در بازارهای داخلی و صادراتی است.
با این وجود، سود عملیاتی شرکت تحت تأثیر افزایش هزینههای تولید قرار گرفته است. طبق توضیحات رسمی شرکت به سازمان بورس، بهای تمامشده درآمدهای عملیاتی حدود ۷۱ درصد رشد داشته که مهمترین دلایل آن افزایش نرخ گاز طبیعی، ثبت هزینههای توزیع و انتقال گاز، هزینه تعمیرات اساسی و همچنین توقفهای تولید در مقاطعی از سال بوده است.

از سوی دیگر، کاهش سایر درآمدهای عملیاتی نیز در مقایسه با سال قبل بر سود عملیاتی اثر گذاشته؛ زیرا در سال گذشته درآمدی ناشی از تعدیل نرخ گاز طبیعی ثبت شده بود که در دوره جاری تکرار نشده است.
با وجود این فشارها، نکته مهم آن است که شرکت همچنان از منظر درآمدی در مسیر رشد قرار دارد و افزایش هزینهها بیشتر ناشی از عوامل بیرونی و ساختاری بوده است. به بیان دیگر، چالش اصلی فنآوران در سال جاری مدیریت هزینه انرژی بوده و نه کاهش فروش یا از دست دادن بازار.
پیشنهاد افزایش سرمایه؛ تقویت موتور توسعه شرکت
یکی از مهمترین خبرهای اخیر پیرامون پتروشیمی فنآوران، ارائه گزارش توجیهی هیأت مدیره برای افزایش سرمایه و ارسال آن برای تصویب در مجمع عمومی فوقالعاده است. هدف اصلی این افزایش سرمایه، تقویت ساختار مالی، تأمین منابع لازم برای پروژههای توسعهای و کاهش فشار مالی ناشی از اجرای طرحهای جدید عنوان شده است.
گزارش توجیهی افزایش سرمایه
افزایش سرمایه برای شرکتهای پتروشیمی معمولاً با هدف نوسازی تجهیزات، اجرای طرحهای بهبود بهرهوری، توسعه ظرفیت تولید یا تکمیل زنجیره ارزش انجام میشود. در شرایطی که هزینههای تولید بهویژه انرژی افزایش یافته، سرمایهگذاری در طرحهای بهینهسازی میتواند در میانمدت موجب کاهش هزینه تمامشده و افزایش سودآوری شود.
کارشناسان بازار سرمایه معتقدند؛ اجرای موفق برنامه افزایش سرمایه میتواند انعطاف مالی فناوران را افزایش داده و توان شرکت برای عبور از دورههای پرهزینه تولید را تقویت کند.
چشمانداز پیشروی فنآوران؛ عبور از دوره فشار هزینهها
ترکیب دادههای مالی ماهانه، عملکرد ۹ماهه و برنامه افزایش سرمایه نشان میدهد فنآوران در حال عبور از یک دوره فشار هزینهای است، اما همزمان بسترهای رشد آینده را نیز آماده میکند. افزایش درآمد فروش، حفظ بازار صادراتی، و تلاش برای تقویت ساختار سرمایه از جمله نقاط قوت شرکت محسوب میشود.
اگر در سال آینده شرایط تأمین انرژی پایدارتر شود و پروژههای توسعهای شرکت به نتیجه برسند، امکان بازگشت حاشیه سود به سطوح مطلوبتر وجود خواهد داشت. در چنین شرایطی، فناوران میتواند نهتنها سودآوری خود را تثبیت کند بلکه جایگاه قویتری در میان شرکتهای پتروشیمی بازار سرمایه به دست آورد.
در مجموع، گزارشهای اخیر نشان میدهد فنآوران اگرچه در سال جاری با چالش افزایش هزینهها مواجه بوده است؛ اما مسیر اصلاح ساختار مالی و توسعه عملیاتی را فعالانه دنبال میکند؛ موضوعی که میتواند در دورههای آینده به نفع سهامداران این شرکت تمام شود.